Trader Joe’s Opens More Stores to Regain Market Share
Case Type: increase sale, increase market share; business competition.
Consulting Firm: PricewaterhouseCoopers (PwC) Advisory first round full time job interview.
Industry Coverage: retail.
Case Interview Question #00798: Our client Trader Joe’s is an American privately held chain of specialty grocery stores based in Monrovia, California, in Greater Los Angeles. As of 22 April 2015, Trader Joe’s had 457 stores, approximately half which are in California, with the heaviest concentration in Southern
California. The company also has locations in 40 other states and Washington, D.C.
Trader Joe’s is a market leader in organic and fresh food groceries in Southern California. They have been enjoying good profits and great results, though in the last 2 years they have seen a slowdown in the growth of the market share and the profits and same store sales have gone down. As a matter of fact, retail giant Wal-Mart (NYSE: WMT) has opened two stores exactly two years ago and 3 more in the past two years in the client’s main geography – California.
Our client Trader Joe’s also started, five years ago, to open smaller stores closer to where there is a high density of people. We have been tasked with helping them overcome their current issues. How would you go about it?
Possible Solution:
Question #1: Interviewer: What can be the reasons behind their low performance lately?
Possible Answer:
Elements to be discussed in the brainstorming session:
Market share decrease can be coming from several reasons:
- decrease in revenues due to customers spending less in our store and more in other stores,
- customers moving from our stores to another stores,
- an increase in the market size that is not captured by our client
Profit decrease can come either from revenue decrease or from cost increase
Decreased revenues due to:
- Competition: need to assess the entry of new competitors of significant investments from the existing ones that might have stolen the consumers from our stores.
- Change in consumer needs that were not spotted by ous client and have affected the traffic in the store(e.g.: focus on organic products, need for additional services to be provided by the store, etc)
- Change in pricing(specifically increase ) that might have decrease the spending of the consumers or determined them to go to another competitor.
- Change in the assortment of the store that might have determined some loyal customers to look for those products in another place.
- Change in the promotions that the client used to have(e.g. reduction of promotions, elimination of loyalty programs, etc)
Increased costs due to:
- Opening of new smaller stores have a lot bigger costs per unit sold than the old stores
- A reduction in prices that provides lower profitability
- A change in the mix of products sold ( e.g. now the customer is selling more low margin products)
Question #2: Interviewer: How can they address the threat of Wal-Mart and the other competitors?
Additional Information: to be provided upon request
- Wal-Mart carries 75% of the grocery items our client Trader Joe’s has at much lower prices.
- Studies have showed that consumers perceive the prices in our client’s store as being higher than both the ones in Wal-Mart and the ones in another close competitor.
- The reality is that they are 20% higher than the ones in Wal-Mart and equal to the ones in the other competitor.
Possible Answer:
I do not think the Wal-Mart is a real threat based on the number of stores that they have yet (5 as opposed to ~200 of our client in California). But Wal-Mart can become a real threat once they expand. Then it is very important to differentiate versus Wal-Mart. Our client will not be able to compete on low prices with Wal-Mart but they can perform a market research and identify other needs that customers have and Wal-Mart cannot provide and work on those attributes.
As for the other competitors, our client has to work on building its pricing image. There is clearly a problem coming from the fact that they are perceived more expensive than the next competitor. Maybe their prices are not following a good pricing strategy. They should probably conduct a price sensitiveness analysis in order to properly identify the products that should have low prices and the ones that can carry higher margins.
Question #3: Interviewer: As a strategy to overcome their problems they decided to reduce the prices by 15%. Based on the information below how many new stores should they open in the next 2 years to break even?
- Sales per store: $40M
- Stores older than 5 years: 160
- Stores opened in the last 5 years: 40
- Profit margin per store: 30%
The sales/store for the stores opened in the last 5 years is lower than the sales from the older stores. For the simplicity of the calculation we consider the stores equal. (This information should help the candidate assess the validity of the price reduction)
Possible Answer:
Sales / store after the price decrease = 85% * $40M = $34M
Profit / store:
- Before price decrease: $40M * 30% = $12M
- After the price decrease: $34M * 30% = $10.2M
⇒ Profit loss = $12M – $10.2M = $1.8M
Total profit loss = $1.8M * 200 stores = $360M
Number of new stores to open in the next 2 years to break even = $360M / $10.2 = ~36
This number is not feasible as they only opened 40 stores in the last 5 years and these stores are supposed to have fewer revenues than an average store.
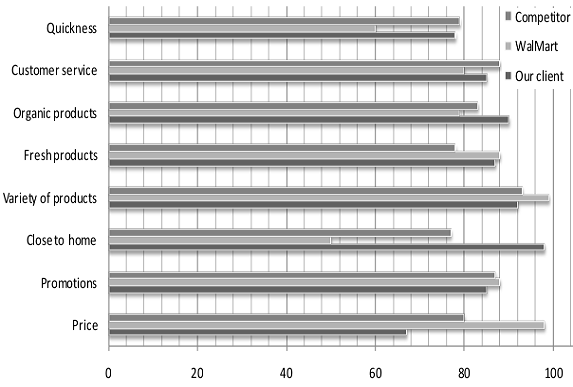
Question #4: Interviewer: They have performed another study to see the customer perception over a series of factors. Based on this information, what do you think they should do?
Possible Answer:
A good candidate will recognize that the closeness to home is the factor that they can work on as our client is a better performer than its competitors. It looks like on the fresh/organic assortment it has an advantage but a good candidate will recognize that this advantage is easy to be copied by competitors. This should constitute a base for a recommendation for the client.
Example of Recommendation:
Based on the findings so far, I think that for our client Trader Joe’s it is critical to start concentrating on the attributes where it has an advantage versus competition and that are also important to consumers (closeness to home) and build its marketing campaign and future communication strategy on those identified strengths. Another current advantage is the fresh/organic assortment. But because it can be easily copied, it will be difficult for the client to differentiate here. The risk is in the short term as building a new brand image is not something that can be achieved very quickly but it will be critical to help them recover the lost market share.